【研究进展】储诚进教授团队揭示了丛枝菌根树种对全球树木β多样性纬度梯度格局的影响
生物多样性纬度梯度格局及其形成机制一直是生物地理学和宏观生态学的核心科学问题之一。树木β多样性描述了树木群落间的物种组成差异,联系着局域尺度的α多样性和区域尺度的γ多样性,能反映树木群落构建和多样性维持的潜在机制。因此,树木β多样性纬度梯度格局研究受到广泛关注。然而,前人对树木β多样性纬度梯度格局的研究往往只关注气候、地形等环境因素的影响,忽略了生物因素的重要作用。作为影响树木存活和生长的最重要生物因子之一,不同类型的菌根真菌能与不同树木共生,形成不同类型的菌根树种。不同类型的菌根树种受到的植物-土壤反馈作用以及对气候等环境因素的适应能力不同,因此,对树木多样性的形成与维持具有不同的影响。该研究探讨了不同类型的菌根树种如何影响全球树木β多样性纬度格局。
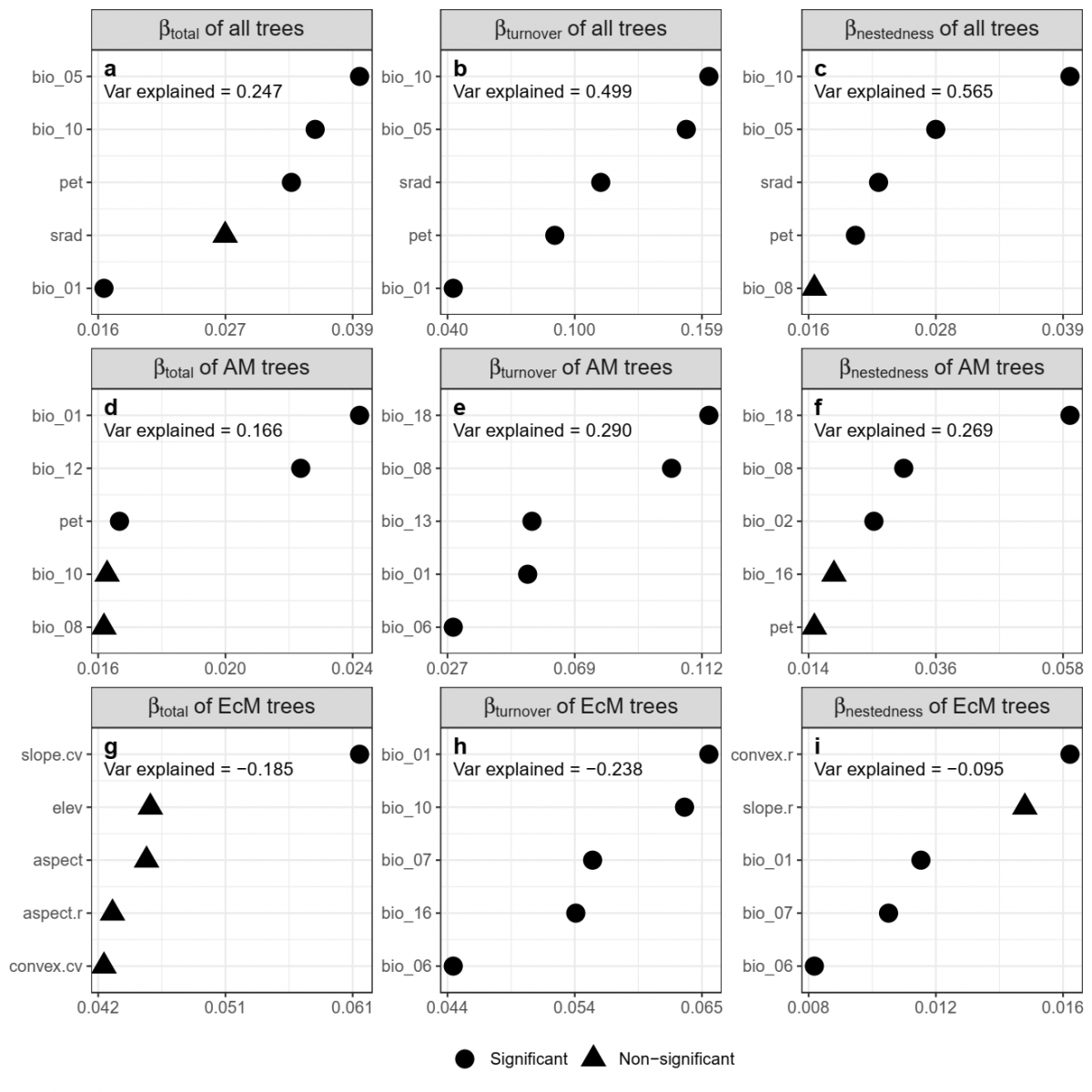
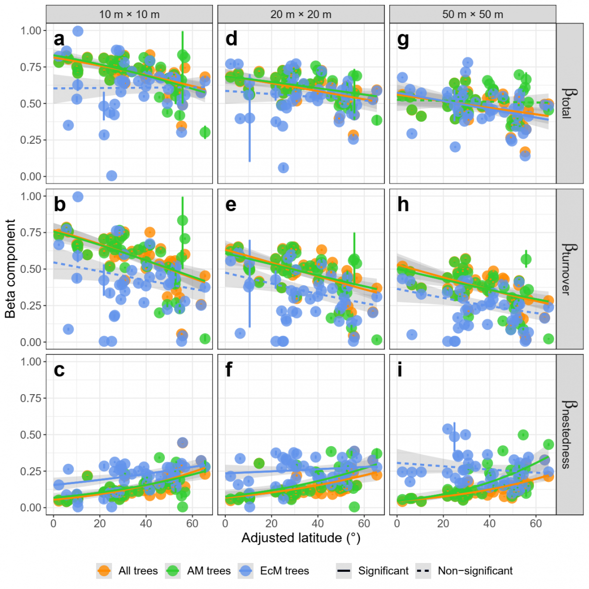
储诚进教授团队收集了全球范围内45个森林大样地(主要来自ForestGEO和CForBio)共3840种、2804270株树木的调查数据。在此基础上,把所有树木划分为丛枝菌根树种(Arbuscular mycorrhizal trees,AM trees)、外生菌根树种(Ectomycorrhizal trees,EcM trees)以及其他树种,计算树木的β多样性及其组分,通过随机抽样的方式排除取样效应的影响,通过β回归、方差分解以及随机森林等手段探讨了不同类型的菌根树种如何影响全球树木β多样性纬度格局以及环境因子如何产生作用。结果发现,丛枝菌根树种的β多样性纬度格局与所有树木的β多样性纬度格局高度一致,而外生菌根树种的β多样性纬度格局不显著或偏离所有树木的β多样性纬度格局较多,表明树木β多样性的纬度格局主要由丛枝菌根树种决定,外生菌根树种影响微弱(图1)。环境因素对树木β多样性的影响主要是通过影响丛枝菌根树种来产生的(图2)。
图1. 树木β多样性随纬度的变化格局
图2. 20 m × 20 m尺度下环境因子对树木β多样性的影响
该研究结果表明,树木β多样性纬度格局以及环境因素的影响均高度依赖于菌根树种类型。其中,丛枝菌根树种起主导作用,强调了丛枝菌根树种在全球树木多样性维持和保护中的重要地位。该研究以“Arbuscular mycorrhizal trees influence the latitudinal beta-diversity gradient of tree communities in forests worldwide”为题发表在Nature Communications上,并入选该期刊编辑精选论文(Featured Article, https://www.nature.com/collections/jgjcebchgg)。储诚进教授团队博士后钟泳林为该论文的第一作者,储诚进教授为通讯作者,中山大学有害生物控制与资源利用国家重点实验室为第一完成单位。
文章链接:https://doi.org/10.1038/s41467-021-23236-3

