【研究进展】余世孝教授团队揭示温度变化对全球植物类群分布的主导作用
环境因子如何影响全球植物分布格局一直是生态学和生物地理学中的基本问题。虽然普遍认为气候是在大尺度上影响植物类群分布的主要因子,但具体各个因子(例如年均温)的作用如何随空间尺度和纬度变化而变化,由于早期的研究一般局限于特定的植物类群和空间尺度,从而导致这一问题一直得不到解决。
近日,生态学国际知名期刊《Global Ecology and Biogeography》在线发表了余世孝团队的研究论文“Environmental drivers of plant distributions at global and regional scales”。该研究通过整合全球植物物种分布与环境数据,运用大数据分析验证气候塑造植物地理分布格局的理论,揭示了温度变化对全球与区域尺度下植物分布的主导作用。
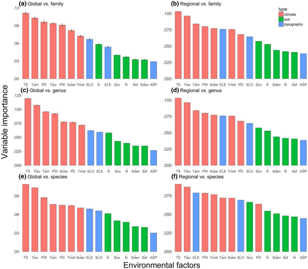
该研究收集整合了全球植物共584个科、6211个属、54,101个种的地理分布数据,结合全球气候、土壤、地形数据,以不同纬度带划分为区域尺度,通过随机森林算法量化不同尺度下影响每个植物科、属、种分布的各环境因子的作用,并计算每个植物类群在全球的分布范围和界限。随机森林的结果发现,温度变化因子在全球和区域尺度上都起主导作用。在全球尺度上气候因子的作用大于地形与土壤,地形因子的影响在区域尺度与种水平上高与全球尺度与科水平,而土壤因子在本研究中对植物分布的影响表现相对较弱(图1)。
图1. 全球(左)与区域(右)尺度上不同气候、土壤与地形因子对植物科(a, b)、属(c, d)、种(e, f)分布的影响
通过比较区域尺度上个因子相对作用的变化,可以发现气候因子的作用随纬度变化呈现出一定的规律。其中,温度季节变化和等温性的作用趋向于在低纬度地区起主导作用,而太阳辐射与年均温的作用则随纬度的增高而变大(图 2)。
图2. 沿纬度梯度上不同气候、土壤、地形因子对植物分布的影响强度变化
进一步应用phylogenetic generalized least squares(PGLS)模型分析环境因子对植物类群在全球分布的范围大小、纬度跨度,以及分布南界、北界的影响,发现植物广布科趋向于分布在温度变化较大、地势较平坦的区域。温度变化因子对植物分布范围大小和界限都有显著影响(图 3)。
图3. 不同气候、土壤、地形因子对植物全球分布范围大小(a)、纬度范围(b)、分布北界(c)与南界(d)的影响
综上所述,本研究验证了温度变化对全球植物分布的主导作用,揭示了环境作用随空间尺度与纬度梯度的变化规律。研究指出空间尺度与类群的选择会对物种分布研究有影响,为多尺度的植物分布研究提供重要依据。
余世孝教授为文章通讯作者,2019届硕士黄尔菡为文章第一作者。中山大学有害生物控制与资源利用国家重点实验室为该成果的第一完成单位。该研究由国家重点研发计划项目、国家自然科学基金资助。
原文链接: https://onlinelibrary.wiley.com/doi/10.1111/geb.13251

