【研究进展】余世孝教授团队在森林群落生物多样性维持机制的研究中取得重要进展
生物多样性是人类社会赖以生存和持续发展的基础,是生态文明建设和民族永续发展的保障。但是,由于人类活动所引起的环境污染、气候变化和生境破碎化,已经导致全球范围生物多样性的极大丧失。物种多样性的形成和维持机制是本世纪亟待解决的25个重大科学问题之一,针对该问题的的研究是生物多样性保护和利用的基石。
近日,余世孝教授课题组在国际著名学术期刊Nature Communications上发表了题为“Soil fungal networks maintain local dominance of ectomycorrhizal trees”的研究论文,揭示了由菌根菌丝网络组成的地下高速通路如何连接母树和幼苗并改变幼苗更新动态,进而维持亚热带森林的群落结构和物种多样性。余世孝教授团队特聘研究员梁敏霞博士为论文的第一作者、刘徐兵教授为通讯作者。
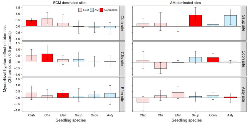
该研究依托平台资源-“广东黑石顶地带与非地带性森林生态系统教育部野外科学观测研究站”,结合长达10年的森林固定监测样地和幼苗样方调查数据,并开展了大型幼苗移栽实验,通过在野外自然条件下精确控制菌根菌丝网络与幼苗的相互作用,揭示了森林林下土壤中菌根真菌组成的地下高速网络 (the “wood-wide web”) 通过连接母树和同种幼苗,进而实现母树对幼苗生长存活和抗病性的显著促进作用。同时,该研究通过比较外生菌根真菌ECM和丛枝菌根真菌AM所组成的地下菌根网络作用的差异性,阐明了亚热带森林中不同类型菌根树种相对多度和群落结构的成因。
本研究首次明确揭示了邻体母树通过地下菌根网络促进同种幼苗更新的关键作用,并阐明了不同类型菌根植物稳定共存和群落动态的形成机制。相关成果不仅完善了现有的生物多样性形成和维持的理论体系,还为生物多样性保护和亚热带森林的保育提供了重要的理论基础。
上述研究得到了国家重点研发计划项目(2017YFA0605100)、国家自然科学基金面上项目(31770466、31870403)和英国自然环境研究基金会(NE/M004848/1、NE/R004986/1)的资助。
论文链接:https://www.nature.com/articles/s41467-020-16507-y

